 更新时间:2023-08-25
更新时间:2023-08-25       阅读:1988
阅读:1988研究背景
Δ9-四氢大麻酚(Δ9-THC)是大麻素受体的部分激动剂,可作为精神活性作用的调节剂和免疫和抗炎作用的调节剂。它可用于治疗艾滋病引起的厌食症和化疗引起的恶心和呕吐。Δ8-四氢大麻酚(Δ8-THC)在体外和体内的药效与Δ9-四氢大麻酚相当,这两种四氢大麻酚类似物在有机合成中受到了越来越多的关注。
 
制备四氢大麻酚类似物的一个具有挑战性的步骤是大麻二酚前体(CBD)的酸催化分子内环化。该步骤通常提供产物的混合物,其需要大量纯化以获得高纯度产物。

图1. 由CBD合成Δ9-THC和Δ8-THC的反应
格拉茨大学化学研究所,欧洲著名连续流专家C. Oliver Kappe教授研究小组在2023年4月在J. Org. Chem. 上发表了文章,从CBD高产量制备Δ9-THC和Δ8-THC的连续流合成方案,利用连续流技术精确控制对产品选择性有关键影响的反应参数,该方法大大提高了反应性能,具备大规模的生产潜力。
研究过程
01
反应机理
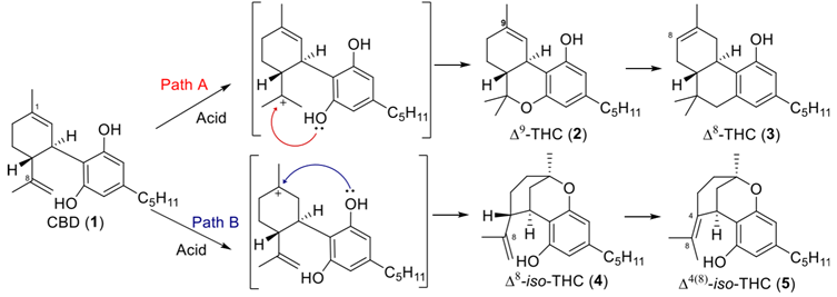
由大麻二酚前体(CBD)合成四氢大麻酚主要有两种途径:
Path A:在酸性催化剂条件下,活化δ8双键形成Δ9-THC;
Path B:在酸性条件下,活化δ1双键形成Δ8-iso-THC;

图2. 合成Δ9-THC和Δ8-THC的反应途径
在酸性条件下两者都会过度反应生成更稳定的产物——Δ9-THC异构化生成Δ8-THC,Δ8-iso-THC则进一步反应生成Δ4(8)-iso-THC。该步骤通常提供产物的混合物,其需要大量纯化以获得任何纯产物。因此控制反应停留时间对该反应过程十分重要。
02
釜式条件CBD环化催化剂及反应条件筛选
作者在间歇釜条件下考察了酸的种类、温度和反应时间等反应参数对CBD酸催化环化反应的影响。

图3. 釜式条件下反应参数的筛选
实验研究表明,三氟化硼醚(BF3·OET2)作为CBD制取Δ9-THC的常用酸,在二氯甲烷溶剂中具有较好的转化率和对Δ9-THC的选择性;但是在甲苯溶剂中表现出对Δ8-THC较高的活性。
随后作者探究了三氟甲磺酸酯和金属氯化物的催化活性,发现三氟甲磺酸三甲基硅酯(TMSOTf)和AlCl3这两类催化剂都表现出较好的转化率和选择性,其中发现了AlCl3比较特殊,因为之前没有报道用AlCl3从CBD中制备Δ9-THC。
接着作者探究了负载酸试剂的应用,负载的试剂和催化剂有一个潜在的好处就是提纯更简单,结果表明与蒙脱土K10(MK10)和聚乙烯吡咯烷酮负载三氟化硼(PVP-BF3)的使用能显著提升反应活性,获得了较好的转化率和选择性。
03
选择性制备Δ9-THC和Δ8-THC的连续流方案的开发
接下来,作者研究了在连续流中的工艺条件,从批量筛选中选出了5种反应效果较佳的酸:MK10、PVP-BF3、BF3·Et2O、TMSOTf和AlCl3。
3.1固定床连续流研究
对于负载酸催化剂MK10和PVP-BF3,作者采用固定床连续流构型。

图4. 固定床流动配置
实验结果显示,负载型酸催化剂没有表现出足够的稳定性,反应性能会随着时间的变化而下降,固体酸的失活是限制其合成应用的一个重要缺点。
3.2 双进料连续流研究
对于BF3·Et2O、TMSOTf和AlCl3催化剂,作者采用双进料连续流装置.

图5. 双进料连续流配置
研究表明:
(1)在连续流中,BF3·Et2O催化剂的性能没有得到显著提升;
(2)对于TMSOTf,通过控制停留时间,在室温下2分钟停留时间内Δ8-THC的选择性可以达到91%,收率达到98%;
(3)通过优化AlCl3的当量,发现提高反应温度,在0.2当量的AlCl3下可以获得良好的性能,在37℃和18分钟停留时间下,反应转化率>99%,Δ9-THC的选择性为92%。
研究小结
作者开发了从CBD的酸催化分子内环化,高收率制备δ9-THC和δ8-THC的连续流新方法;
利用连续流技术精确控制反应参数,大大提高了反应的选择性和收率;
该方法克服了传统的合成方法会产生难以纯化的混合物的问题,就有良好的应用前景。